Liebe Freunde,
koronale Löcher sind Gebiete auf der Sonnenoberfläche, aus denen Plasma mit hoher Geschwindigkeit austritt. Die Magnetfeldlinien um ein koronales Loch herum sind nicht geschlossen, sondern reichen in den Raum hinein. Somit kann das Plasma ungehindert und schnell ins All strömen. Trifft der Sonnenwind eines koronalen Lochs die Erde, führt das zu Schwankungen des Erdmagnetfeldes. Koronale Löcher sind oft Vorboten für Sonneneruptionen.
Eine Sonneneruption (Solarflare) ist eine Entladung die wir durch einen Blitz auf der Sonne wahrnehmen können. Ungeachtet des ausgeworfenen Plasma sind Sonneneruptionen begleitet von einem sehr breiten Spektrum elektromagnetischer Wellen (Emissionen) dessen Energiefreisetzung zwischen 1020 bis zu weit mehr als 1025 Joule betragen kann [1]. Heute möchte ich auf eine Art von Strahlung der Sonne hinweisen, die bisher fast ausschließlich von Radioastronomen beobachtet und rein physikalisch bewertet wurden. Insbesondere möchte ich euch auf die biologischen Wirkungen der solaren UV-B-Strahlen aufmerksam machen. Das elektromagnetische Frequenzspektrum der UV-B-Strahlen liegt zwischen 280 nm – 315 nm Wellenlänge[2],[3] Im Allgemeinen sind diese UV-B-Strahlen für unsere Gesundheit von hoher Bedeutung. Hiervon betroffen sind beispielsweise die wichtigen Vitamin D3-Produktionen. Bitte schaut euch hierzu den Vortrag von Prof. Dr. Jörg Spitz an[4]. Doch das ist noch nicht alles. Doch da ist noch etwas anderes. Seit einigen Jahren verändern diese lebenswichtigen Frequenzen unserer Sonne ihre Intensität. Ein Jahr bevor diese außergewöhnlichen Veränderungen in einem Fachjournal veröffentlicht wurden, begegnete ich den beiden Entdeckerinnen Maria Gigolashvili, und N. Kapanadze auf der internationalen Konferenz Geocataclysm 2011 in Istanbul[5]. M. Gigolashvili und N. Kapanadze forschen an der Ilia State University, Tbilisi, Georgia. In einem relativ kleinen Kreis von Wissenschaftlern aus unterschiedlichen Fachbereichen stellten uns die beiden Astrophysikerinnen ihre Entdeckung vor. Diese Ergebnisse wurden 2012 im Fachjournal „Sun and Geosphere“ veröffentlicht.
„Wir sehen einen Abwärtstrend bei den Intensitäten der Spektrallinien zwischen 121,5 nm und 200,5 nm (Extremes UV) und einer gleichzeitigen Intensitätssteigerung Spektrallinien zwischen 289,5 nm und 300.5 nm (UV-B). Diese Messergebnisse sind deshalb ungewöhnlich, weil beide Frequenzspektren (200,5 nm, 289,5 nm und 300.5 nm) zum selben Herkunftsbereich der Sonnenstrahlung zählen.“ [6]
Obwohl sie Quelle dieser Strahlung in beiden Fällen unsere Sonne ist, zeigten sich die besonders schädlichen UV-C-Strahlen als abgeschwächt wohingegen sich die biologisch wertvollen UV-B-Strahlen sich erhöht haben. Aus Sicht der Astrophysiker scheint es sich hierbei um eine naturwissenschaftliche Sensation zu handeln. Bei der Präsentierung dieser Messergebnisse erinnerte ich mich an die eine weitere Bedeutung dieser UV-B-Frequenzen. Von einem meiner Mentoren, Prof. Friz Albert Popp wusste ich, dass es sich bei diesen Frequenzen um die sogenannte mitogenetische Strahlung[7] handelt. Tatsächlich hatte der Biologe Alexander G. Gurwitsch Strahlen bereits in den 20ger Jahren diese „Lebensstrahlen“ nachweisen können.
Alexander Gurwitsch konnte nachweisen, dass jede lebende Zelle permanent eine solche Lichtstrahlung im UV-B-Bereich aussendet. Heute gehen viele Kollegen davon aus, dass die mitogenetische Strahlung sogar in einem Zusammenhang mit „morphischen Feldern“[8] von Professor Rupert Sheldrake stehen.
Nach Alexander Gurwitsch konnten 1969 zwei sowjetische Wissenschaftler nachweisen, dass genetische Informationen elektromagnetisch fernwirkend auf Zellkerne übertragen werden können. Der Physiker Prof. V. P. Kaznacejev erbrachte in seinem Labor des Institutes für Klinische und Experimentelle Medizin (der Akademie der Medizinischen Wissenschaften der UdSSR) eine Revolution in der Genetik. Sieben Jahre nachdem an Watson, Crick und Wilkins der Nobelpreis für die Entdeckung der DNA-Struktur vergeben wurde, konnte Prof. Kaznacejev den so genannten „zytopathischen Spiegeleffekt“ nachweisen. Durch großangelegte Versuche Prof. Kaznacejev und sein Team nachweisen, dass das Zellwachstum auch durch sonnen-magnetische und geo-magnetische Feldschwankungen beeinflusst wird.
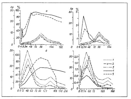
Die beiden unteren Diagramme links veranschaulichen das Wachstum beider Zellkulturen, die Diagramme rechts die mitogenetische Aktivität der Zellkulturen in Novosibirsk (4) und Norilsk (5).
Die oberen Grafiken verdeutlichen den Einfluss des helio-, also sonnenmagnetischen Feldes auf die zeitlichen (horizontal, Stunden) Schwankungen der mitogenetischen* Aktivität und das Wachstum von Zellkulturen.
Diese Schwankungen verliefen in den 1976-77 in Novosibirsk und Norilsk gleichzeitig durchgeführten Experimenten synchron. Der Ap-Index (1) ist ein Maß für planetarische (globale) Schwankungen des geomagnetischen Feldes, Ap“2-5 entspricht normalen Bedingungen, Ap“50 entspricht einem Magnetsturm. Der K-Index für Novosibirsk (2) und Norilsk (3) charakterisiert den Zustand des lokalen geomagnetischen Feldes.


Liebe Freunde,
mit diesem Artikel möchte ich euch ein besseres Verständnis über die Zusammenhänge zwischen den Sonnenaktivitäten und einer möglichen Metamorphose der Menschheit vermitteln. Die momentanen Veränderungen der Sonne mögen zwar zunächst für uns unsichtbar erscheinen, doch sehe ich sie nicht zufällig in dieser Zeit auftreten. Dieses kosmisch orchestrierte Szenario erinnert mich an eine Aussage von Prof. Eric Dollard: „Die Sonne fungiert als Transformator; erzeugt keine Wärme, sondern überträgt sie an uns. Die Ursache kommt aus einer anderen Dimension…Die Sonne ist ein Transformator, sie verwandelt sich von einer anderen Dimension!“ [9].
Me Agape
Euer
Dieter Broers
[1] „What is a Solar Flare?“. NASA. Retrieved May 12, 2016
[2] http://www.elektrotechnik-fachwissen.de/nachrichtentechnik/frequenz-wellenlaenge.php
[3] Gemäß DIN 5031 umfasst das Spektrum im Ultravioletten die Wellenlängen von 100 nm bis 380 nm (Grenze zum sichtbaren Licht), die Frequenz der Strahlung reicht von etwa 790 THz (380 nm) bis 3000 THz (100 nm).
[4] https://www.youtube.com/watch?v=xEU7Hb8KrpM
[5] https://issuu.com/salesgroup/docs/geocataclysm_2011_abstract
[6] http://newserver.stil.bas.bg/SUNGEO/00SGArhiv/SG_v7_No1_2012-pp-35-40.pdf
[7] https://de.wikipedia.org/wiki/Alexander_Gawrilowitsch_Gurwitsch
[8] https://www.sheldrake.org/deutsch/morphische-felder
[9] https://www.youtube.com/watch?v=PM5zrzd4pOU
